In any electrical system a fault to Earth or a fault between live conductors will generate a fault current. The level of fault current will depend on a range of factors, including voltage levels, number of phases, proximity to the distribution transformer, and the like.
This article looks at likely levels of fault current, how they are to be assessed and the nature of equipment being sufficient to manage such fault currents (breaking capacity).
Types of fault
There are two types of ‘short circuit’ generally considered in BS 7671:
- Earth fault current – a current resulting from a fault of negligible impedance between a line conductor and an exposed-conductive-part or a protective conductor.
- Short circuit – an overcurrent resulting from a fault of negligible impedance between live conductors having a difference in potential under normal operating conditions.

Figure 1 Potential faults
Single-phase fault
Based on Figure 1 the level of fault current is determined by the following:
- The voltage – single phase (230 V)
- The impedance of the transformer winding.
- The impedance of the supply cable (line-to-Earth or line-to-neutral).
- The impedance of the internal cable (line-to-Earth or line-to-neutral.
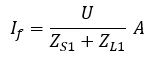
The simplest way to determine the level of fault current in a single-phase system is to determine the combined values of the transformer winding and the line and neutral conductors.

This can be simplified to

Two-phase fault
Based on Figure 1 the level of fault current is determined by the following:
- The voltage – between two phases (400 V)
- The impedance of the transformer winding.
- The impedance of the supply cable (line-to-Earth or line-to-neutral).
- The impedance of the internal cable (line-to-Earth or line-to-neutral.
The simplest way to determine the level of fault current between two-phases is to determine the combined values of the transformer winding and the line and line conductors.

This can be simplified to

The level of fault will be greater than for a single phase fault but will not be double the value of a single-phase fault.
Three-phase fault
Based on Figure 1 the level of fault current is determined by the following:
- The voltage – counter-intuitively this is taken to be the value of a single-phase supply (230 V)
- The impedance of the transformer winding.
- The impedance of the supply cable (line only).
The simplest way to determine the level of fault current between three-phases is to determine the combined values of the transformer winding and the line conductor.

This can be simplified to

The level of fault will be greater than for a single-phase fault, and a two-phase fault but will still not be double the value of a single-phase fault.
Understanding the difference between expected fault current levels is important when selecting electrical equipment, such as circuit-breakers, switches and the like.
In a subsequent article we will consider the impact of prospective fault current values on the choice of equipment and recognise the importance of ensuring that the correct breaking capacity is selected.